色彩値XYZを計算してみよう

Posted 22 August 2022 by X-Rite Color
Modified 28 August 2024

これまで、色彩値の算出に必要な3つの要素、①照明としての光、②色としての物体、③受光器としての目をそれぞれ説明してきました。今回は、これらの要素から得られた値を使用してどのように色彩値を算出するかを説明します。

元来、色はスペクトル全体に広がる情報を持っています。
たとえば、この可視域(概ね400nm-700nm)に広がる色の情報を10nm間隔でサンプリングするとして、各波長における31の反射率のデータ(情報)が得られます。

この色の31次元に渡る特性が人の目(錐体という受光器)に落とす3次元の影を算出するわけです。 影ですから物体は同じでも、光の射す方向や,影のできる壁の形状で影の状態は変化します。 色彩計算の場合、光の射す方向が①「照明としての光」にあたり、壁が③「受光器としての目」ということになります。

計算は等色関数の3つのx ̅(λ),y ̅(λ),z ̅(λ)それぞれに対して、照明光の分光分布と物体の分光反射率を波長ごとに掛け合わせて波長方向に積分することで算出されます。

イメージとしては図-34のようになります。

色彩値XYZを計算してみよう

図-34 色彩値CIEXYZ算出のイメージ

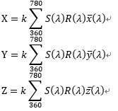
実際の計算式はといいますと、

色彩値XYZを計算してみよう

ここで、
S(λ)は、イルミナントの分光分布の相対強度
R(λ)は、物体の分光反射率
x ̅(λ),y ̅(λ),z ̅(λ)は、等色関数の刺激値

 

を表します。

kの値は放射色の場合と反射・透過色の場合で異なり、放射色の場合、k= 683(lm/W)として、Yの値がそのまま測光量の輝度となるようになっています。

反射・透過色の場合、色彩値XYZを計算してみようとして、完全拡散反射物(全ての分光反射率が1)のYの値が100となるよう正規化します。

実際の測定においては離散的にサンプリングした反射率係数を使用し、積分の代わりに下記のように各波長の総和によって算出されます。

色彩値XYZを計算してみよう

CIEが定義している等色関数は360nmから830nmの1nm間隔のテーブルになります。しかし、実用的なハンディーの測色計などでは 400nm近傍から700nm近傍までの10nmもしくは20nmの分光間隔でのサンプリングが一般的になります。 このため、CIEのイルミナントおよび等色関数ではなく、ASTM (American Society for Testing and Materials) E308が提供するS(λ) x ̅(λ),S(λ) y ̅(λ),S(λ) z ̅(λ)を重価係数として纏めたテーブルを使用します。
ここでは波長間隔を実用的な10nmや20nmに広げる際に発生する誤差を小さくするための補正が適用されますが、この際,測定方式によってテーブル5とテーブル6という選択肢が出てきます。 この辺の選択肢に関しては,いずれ機会があれば説明したいと思います。

ここで20nm間隔のD50イルミナント/2°視野等色関数における重価係数を使用して色彩値のCIEXYZを算出する方法を説明します。

Rは測定した分光反射率係数です。
Wx,Wy,Wzは重価係数(20nm間隔のD50イルミナント/2°視野)それぞれの波長でRとWx,Wy,Wzを掛け算しR*Wx,R*Wy,R*Wzを算出します。 R*Wx,R*Wy,R*Wzの各波長(各列)の総和がX,Y,Zの各値になります。

色彩値XYZを計算してみよう

計算の結果は X=27.39 Y=12.89 Z=6.21 となります。

このようにXYZとして色の3刺激値への数値化が実施されました。 さて、皆さんはこの値を見て何色か想像できますか?

この赤は、図-35のような赤になります。このXYZの数値からですとなかなかこの赤は想像しにくいのではないでしょうか?

色彩値XYZを計算してみよう

図-35  X=27.39 Y=12.89 Z=6.21 の色

また、XYZの色空間は人間の目にとって均等な色空間ではありませんでした。
このためこのXYZをベースとして、より均等な色空間を定義する試みが繰り返されることになります。


次回はこのような均等色空間の試みについて説明したいと思います。

おすすめの参考資料

  • 測色入門ウェビナーオンデマンドウェビナー

    本ウェビナーでは、色の数値管理・デジタル化による品質管理について、測色計や標準光源装置の導入にあたって必要な知識をゼロからお伝えします。
  • ブランドに正確な色を再現するにはホワイトペーパー

    消費財や電機メーカーのブランド担当者がパッケージの色をどのようにサプライヤーとコミュニケーションし、ブランド資産として管理していくかのヒントとなる内容をご紹介します。
  • カラーコミュニケーションガイドホワイトペーパー

    本書は色のノウハウを紹介するガイドです。アートやカラーサイエンスの初心者・上級者を問わず、正確な製品色を確保し、ブランドイメージを維持するための、購買意思決定の瞬間を左右する情報を提供します。
  • 塗料&塗装の測色業界ソリューション

    エックスライト社の斬新的な製品ソリューションは、原料と全工程におけるの色管理をサポートします。

関連製品一覧

色と見えの原理:オンライン(FOCA)

FOCA

「色と見えの理論」のオンラインコースは色の基礎知識を提供、測色&データの理解や、信頼のおけるカラー品質プログラムとは何かを説明します。

お問い合わせや、無料相談・無償機材貸出・製品見学会のお申込はこちら