前回は色差計、色彩計、分光計の違いを説明しましたが、今回は濃度計と分光濃度計の違いについて説明したいと思います。
X-Riteの製品で言うと、D19Cや310/404/408、DensiEyeといった製品が濃度計にあたります。
これに対してSpectroEye、 500シリーズ、eXactといった製品は分光濃度計と呼ばれます。
どちらの製品群も濃度を測定しますが、その測定方法や精度が異なることになります。
単に濃度計と呼ばれる場合、色彩計や色差計と同様、刺激値直読法による濃度測定装置を指します。
つまり、色彩計の場合、3つのセンサーの応答特性が
(もしくはそれにリニアな特性)になるようフィルターを調整しました。
濃度計の場合、このフィルターの特性がISO5-3で規定されるR,G,Bのスペクトラルの重価係数にマッチするよう設計されます。これらのフィルターで測定された測定値は直接C,M,Yの濃度を示します。
K(墨)の濃度はビジュアル濃度としてC,M,Yから計算によって求めますが、別途Visual (ビジュアル)フィルターを用意する場合もあります。
「RGBフィルターで測定してCMYK濃度って変だなー」って思われるかもしれませんが、以前、濃度の回でも説明したように、CMYの各インキは、図 - 1の「インキ膜厚と分光反射の関係」のようにサンプル色のRGBの分光領域を増減調整します。
ですからRGBの各フィルターでCMYの濃度が測定できるというわけです。
図 - 1 インキの膜厚と分光反射の関係
ちなみに、K濃度は人の明るさに対する応答特性を使用し、正式なISOの呼び方はK濃度ではなくビジュアル濃度と呼びます。
刺激値直読の濃度計の模式図としては図 - 2に示すように色彩計の場合と同じような仕組みとなります。
フィルターの応答特性は色彩計の際の
の替わりにISOの特性にマッチしたR,G,Bフィルタを使用することになります。
図 - 2 刺激値直読法の濃度計の模式図
一方、分光濃度計のほうは分光測色計(分光光度計)と同じく、まずは分光反射率を分光器によるサンプリングで測定します。 測定の仕組みは図 - 3のように分光測色計と全く同じです。違いは分光値からの計算式のみです。
図 - 3 分光濃度計のグレーティングによる測定模式図
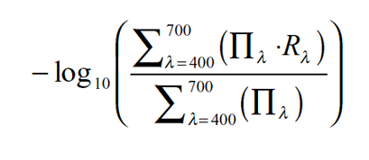
分光濃度計の場合、分光反射率に対してR,G,Bの各フィルタに対応する重価係数を式 - 1のように使用してCMYK各濃度を算出します。
式 - 1 分光値から濃度の算出計算式
※ここで、
はISOの各フィルターの重価係数
測定分光反射率は測定分光反射率
ちなみに、各フィルターのISO重価係数ISOの各フィルターの重価係数はISO5-3で確認できます。
このように、分光濃度計では分光値の測定精度が高ければ、濃度の値は理想的な数値モデルのフィルター特性を使用した計算で得られるため、極めて精度の高い値となります。 一方、刺激値直読法の濃度計ではフィルターの特性をISOの規格と完全にマッチすることは現実問題としてたいへん難しい問題となります。
このため、濃度値があらかじめ分かっているパッチを測定して、強制的にその濃度になるようシステムを調整するキャリブレーション操作が必要になります。 刺激値直読法の濃度計が図 - 4のようなCMYK濃度パッチをキャリブレーションとして測定するのはそのためです。
図 - 4 刺激値直読濃度計のキャリブレーション用カード
分光濃度計の場合、分光値が正しければ応答特性は理想的な数値モデルを使用するため、キャリブレーションとしてCMYKのパッチを測定する必要はありません。 (分光濃度計の場合、キャリブレーションは白色校正板を用いることで正確な濃度を算出します。)
このような刺激値直読法による濃度計の場合、キャリブレーションの濃度片のインクの組成と実際のインクの組成が異なると、濃度値に誤差が発生する恐れが生じます。
しかし濃度の使用目的はどちらかというと生産管理が中心です。目的となる色を再現するために使用する色材(インク)の最適量を濃度として決めておいて、その濃度どおりに生産物が出来上がっていればOK、低ければインキを盛って、高ければインク塗出量を制限する。このような色材量のコントロールに使われます。
このため絶対値というよりは、どちらかというと相対的な使用方法が主となるため、ISO濃度からのズレがあっても安定的であれば問題なく使用することができます。
これまで刺激値直読法の濃度計が多く利用されていましたが、昨今では、より正確なISO濃度を出力する分光タイプが主流になりつつあります。
刺激値直読の濃度計がステータスT,E,DINなどのいずれかの応答特性に固定されてしまうのに対して、分光濃度計ではこれらの応答特性を変更して使用することができるため、状況に合わせて柔軟に対応できるためです。
また、刺激値直読法による濃度計はキャリブレーションカードが命になります。しかし、このキャリブレーションカードは紙ベースのため退色が避けられません。通常、ある程度の精度を保つためには1年に一度のキャリブレーションカードの交換が必須となります。
分光濃度計の場合、キャリブレーションはセラミックの白色校正板を使用して行います。分光値が正しければ、CMYKパッチカードによる濃度の確認は行う必要はありません。セラミックの場合、紙ベースのキャリブレーションに比べ高い耐久性があります。(それでもメーカー再校正は1年に一度実施することが推奨されています。)
図 - 5 分光濃度計のキャリブレーション用白色校正板
現在使用している刺激値直読の濃度計から分光濃度計に切り替える場合、いくつかの注意点があります。
特に重要なのは次の3つの設定を従来の濃度計の設定にあわせることです。
- 分光濃度計のステータスを従来の濃度計のステータスに合わせる。
- 用紙基準白色/絶対白色の設定を従来の濃度計の白色基準設定に合わせる。
- 偏光フィルタ(POLもしくはM3)の有り無しを従来の濃度計のそれにあわせる。
これらの設定が異なる場合、分光濃度計の値が従来の濃度計と大きくずれる結果となります。
また、従来の濃度計でDINを使用している場合は、分光濃度計ではステータスEを使用することをお勧めします。
ステータスEはISOがDINユーザーのために開発したステータスです。
ISOやFOGRAなどではDINユーザーはステータスEに移行することを推奨しています。
従来の濃度計のDINで濃度基準を作って管理している場合、概ねステータスEでも問題なく使用できますが、厳密に言えばこれら2つの値は異なります。できれば、ステータスEで新たに基準を作って管理することをお勧めします。
先にも述べたように濃度管理は生産管理が主な目的です。L*a*b*などの基準色の値と違い、正しい色を再現するために基準濃度は自分が使用する色材(インキ)や生産機材に合わせて自分で決めることができます。 多くの場合、新しい機材を導入した際に基準濃度を変更しても問題になることはありません。
おすすめの参考資料
-
測色入門ウェビナー|オンデマンドウェビナー
本ウェビナーでは、色の数値管理・デジタル化による品質管理について、測色計や標準光源装置の導入にあたって必要な知識をゼロからお伝えします。
-
ブランドカラー維持にかかる費用はいくらかご存じですか︖ |ホワイトペーパー
本書では、ブランドカラー維持にかかる費用と色がもたらすコストへの影響を最小化する方法をご紹介します。
-
調色作業のデジタル変革に取り組む色の再現性とインキ量の最適化を追求|ユーザー導入事例
株式会社サンニチ印刷様はインキ調色ソフトウェア『InkFormulationソフトウェア』(IFS)を 最新バージョンに更新し、特色業務をさらに効率化しました。
-
パッケージ素材に正確な色を印刷する方法|アプリケーションノート
適切なデジタルカラーソリューションを用いて、パッケージ印刷のブランドカラー条件を把握し、パッケージ色を効率的に調色、作成、管理する方法をご覧ください。
関連製品一覧
ポータブル分光濃度・測色計 eXact™ 2
用紙を専用とし、高度な測定技術や市場初のビデオターゲティング (Mantis™)、WiFi 接続、スマートなインターフェイスを備えています。 |
ポータブル分光濃度・測色計 eXact™ 2 Xp
フレキソフィルム素材を対象とし、CMYK およびスポットカラーの正確な印刷をサポート。ソフトウエアと業界基準を活用することで直感的なプロセス制御を実現します。 |
ポータブル分光濃度・測色計 eXact™ 2 Plus
インキと用紙を評価するスマートな機能や、偏光測定・非偏光測定を切り替える万能な機能を追加。eXact シリーズの全機能も備えた究極のハンドヘルド分光測色計です。 |
お問い合わせや、無料相談・無償機材貸出・製品見学会のお申込はこちら