白色度とは何?
塗料、繊維、製紙などの産業では、独自の材料と製品に基づく白色度のを使用しています。
通常、この白さのインデックスは、マテリアルがどのように白く見えるかについての評価になっています。
写真、印刷用紙、プラスチックでは、白色度は特定の素材表面における白と白に近い色の白さに対する視覚的評価を相互に関連付ける尺度になっています。
これは、あくまでも素材の見えに対する感覚量であり、好みなどの影響を受けるため、色彩的な白とは異なる値となります。
繊維などの業界では、「黄なり」、「オフホワイト」などのように、素材としての白が、化学的性質上 黄味を帯びるため、この補正に「青味」を加えて視覚的な「白色度」の向上を図りますが、 一方、減法混色によるこのような補正は明度の低下をもたらし、同時に「白色度」の低下を招きます。
各産業では様々な方法で白を実現しますが、好ましい白に対する尺度を規定したものが 「白色度」インデックスとなっています。
ASTM(American Society for Testing and Materials)によると、「高い白色度は、属性、 オブジェクトの色が、適切な白に近づくことを表します。」とあります。
歴史的にこれまで非常に多くの白色度インデックスが開発されてきましたが、 現在ではいくつかの代表的な白色度が使用されるようになっています。
どのインデックスを選択するにしても、それぞれの数値が視覚的観察とどのように関連しているかを確認してください。
また、あなたのサプライチェーンのパートナーと白色度に関するコミュニケーションを取る場合、常に、どの白色度インデックスを使用しているかを明確に識別する必要があります。
Color iControlではさまざまな白色度インデックスを表示することができます。
ASTM E313 Whiteness
白および白に近似する色の見えを評価する値
青領域(CIE XYZのZ成分)と視感反射成分(CIE XYZのY成分)を評価
45/0光学幾何条件の測色計で測定したイルミナントCの値で評価する値
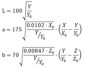
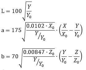
<計算式>

Color iControlでは積分球測色計でも表示可能
Color iControlではC以外のD65およびD50のイルミナントでも計算可能
CIE Whiteness
幅広い産業で使用されている白色度インデックス イルミナント/標準観測者:D65/2およびD65/10で評価する値
<数値の意味>
100以上の値で青味の白
100以下の値で黄味の白
<計算式>
その他のイルミナントに対しても無彩色色度から計算可能
<各イルミナント・標準観測者における無彩色色度>
| CIE1931 | CIE1964 | |||||
| Value | C | D50 | D65 | C | D50 | D65 |
| x0 | 0.3101 | 0.3457 | 0.3127 | 0.3104 | 0.3477 | 0.3138 |
| y0 | 0.3161 | 0.3585 | 0.329 | 0.3191 | 0.3595 | 0.331 |
Color iControlではその他のイルミナントに対しても算出
<適用範囲>
黄色度(YI)との関係、及び着色度(T)の値で
以下の範囲外では白色度の適用外(Color iControlでは適用外でも表示)
5Y-28 > W > 40
-3 < T < 3
Berger (59) Whiteness
1959年にドイツのBayer社のA.Bergerにより開発された白色度
1960年代から1980年代にかけて製紙・繊維業界で主に使用された白色度
イルミナント/標準観測者:C/2で考慮されたインデックス
<計算式>

Color iControlではC以外のD65およびD50のイルミナントでも計算可能
<数値の意味>
33.33以上の値で青味の白
33.33以下の値で黄味の白
Stensby Whiteness
米国のJ.R.Geigy社のP.Stensbyにより開発された白色度
洗剤産業で良く使用されていたが、現在ではあまり使用されていない。
イルミナント/標準観測者:C/2でのみ有効
Color iControlでもC/2のみ計算可能
<計算式>

L,a,bはHunterLab

<数値の意味>
100以上の値で青味の白
100以下の値で黄味の白
Taube Whiteness
開発者は不明だが、ドイツのBASF社のTaubeによって導入された白色度で、
おもにプラスチック産業で使用されている。
イルミナント/標準観測者:C/2でのみ有効
Color iControlでもC/2のみ計算可能
<計算式>

<数値の意味>
100以上の値で青味の白
100以下の値で黄味の白
Hunter (60) Whiteness-Index
1960年代に色彩学者のHunterによって開発された白色度インデックス。
<計算式>

L,a,bはHunterLab

<数値の意味>
100以上の値で青味の白
100以下の値で黄味の白
Ganz & Grieser Whiteness
スイスCiba社のE.GanzとJ.R.Geigy社のR.Grieserにより開発された白色度で
ニュートラルホワイトを参照する最初の白色度。
好ましい白色からの乖離度を表す第2インデックスのTINT(T)を導入している。
イルミナント/標準観測者:D65/10で評価する値
Color iControlでもD65/10でのみ有効な値を表示
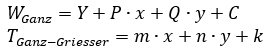
<計算式>

D65/10における係数:
P = -1868.322
Q = -3695.690
C = 1809.441
m = -1001.223
n = 748.366
k = 68.261
<数値の意味>
T>0の値で緑味の白
T<0の値で赤味の白
5 W_Ganzおよび0.5 T_(Ganz-Griesser)ユニット以下の違いは人の目に知覚されない。
ISOブライトネス(ISO白色度ともいう)
(青色反射領域)有効波長457nm、半値幅44nmでフィルタリングされた積分球D/0光学幾何条件による固有反射率で表したブライトネス
ISO2470-1:屋内昼光条件:イルミナントCと相関する照明を使用した場合の固有反射率(この場合を特に慣例として「ISO白色度」と呼ぶ)
ISO2470-2:屋外昼光条件:イルミナントD65と相関する照明を使用した場合の固有反射率
TAPPI(紙パルプ工業技術協会) T-525
ISO2470と同じフィルタ条件でフィルタリングされた積分球D/0光学幾何条件による固有反射率で表したブライトネスインデックスフィルタ用重荷係数に10nm間隔のみ
TAPPI(紙パルプ工業技術協会) T-452
ちなみに、積分球D/0の測色計は市場であまり使用されていないため、
45/0光学幾何条件の測色計で代用される場合が多い。
この場合、ISO白色値に近似した値を示すTAPPI T-452ブライトネス値が使用される。
45/0光学幾何条件の測色計で測定した457nmの反射率係数で表したブライトネスインデックス
おすすめの参考資料
-
測色入門ウェビナー|オンデマンドウェビナー
本ウェビナーでは、色の数値管理・デジタル化による品質管理について、測色計や標準光源装置の導入にあたって必要な知識をゼロからお伝えします。
-
自然光に関する誤解を解く|ホワイトペーパー
色評価に際して知っておくべき自然光シミュレーションに関する4つの通念と誤解について、ご説明します。
-
花王株式会社の導入事例|ユーザー導入事例
花王株式会社は、色の数値管理による商品パッケージ印刷の承認プロセスを確立し、印刷立会を削減するとともに、平均3ヵ月を要していた業務を約1ヵ月に短縮させています。
関連製品一覧
品質管理ソフトウェア Color iQC
Color iQC ソフトウェアは、デザインコンセプトが最終製品にまで忠実に維持・反映されるよう、カラーワークフローの重要な役割を果たします。 |
お問い合わせや、無料相談・無償機材貸出・製品見学会のお申込はこちら